你提供的照片可能用于改善必应图片处理服务。
隐私政策
|
使用条款
无法使用此链接。检查链接是否以 "http://" 或 "https://" 开头,然后重试。
无法处理此搜索。请尝试其他图像或关键字。
试用视觉搜索
使用图像搜索、识别对象和文本、翻译或解决问题
将一个或多个图像拖到此处,
上传图像
或
打开相机
将图像放到此处以开始搜索
要使用可视化搜索,请在浏览器中启用相机
English
全部
搜索
图片
灵感
创建
集合
视频
地图
资讯
更多
购物
航班
旅游
笔记本
自动播放所有 GIF
在这里更改自动播放及其他图像设置
自动播放所有 GIF
拨动开关以打开
自动播放 GIF
图片尺寸
全部
小
中
大
特大
至少... *
自定义宽度
x
自定义高度
像素
请为宽度和高度输入一个数字
颜色
全部
仅限颜色
黑白
类型
全部
照片
剪贴画
素描
动画 GIF
透明
版式
全部
方形
横版
高
人物
全部
仅脸部
半身像
日期
全部
过去 24 小时
过去一周
过去一个月
去年
授权
全部
所有创作共用
公共领域
免费分享和使用
在商业上免费分享和使用
免费修改、分享和使用
在商业上免费修改、分享和使用
详细了解
清除筛选条件
安全搜索:
中等
严格
中等(默认)
关闭
筛选器
768×1024
scribd.com
First Principle... Differentiation | PDF
768×1024
scribd.com
Differentiation by First Principle | P…
768×1024
scribd.com
Differentiation From First Principles | P…
693×460
chegg.com
Solved Exercise: Finding Gradient of a Curve From the First | Chegg.com
1620×996
studypool.com
SOLUTION: Differentiation using first principle method - Studypool
1620×2354
studypool.com
SOLUTION: Differentiation u…
1620×2333
studypool.com
SOLUTION: Differentiation u…
798×630
plantbreeding2010.blogspot.com
Differentiation from first principle
621×550
chegg.com
Solved 1. (20%) The first principle of differentiation is | …
704×415
chegg.com
Solved 1. (20%) The first principle of differentiation is | Chegg.com
711×222
chegg.com
Solved a) Use the Differentiation from First Principle to | Chegg.com
722×573
mathplaster.wordpress.com
The first principle of differentiation – MathPlaster
664×173
chegg.com
Solved By using differentiation from first principle, find | Chegg.com
1058×1497
satprep.co.in
First principle method for diff…
563×596
chegg.com
Solved (a) Using the first principle of differentiati…
810×630
mslimmatht.blogspot.com
Differentiation from first principles
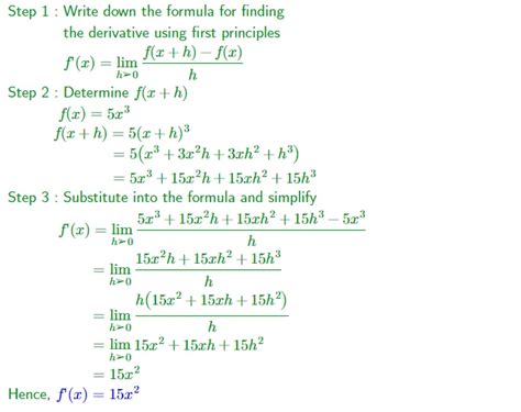
768×435
mathsathome.com
How to Differentiate by First Principles – mathsathome.com
768×434
mathsathome.com
How to Differentiate by First Principles – mathsathome.com
768×433
mathsathome.com
How to Differentiate by First Principles – mathsathome.com
1206×685
mathsathome.com
How to Differentiate by First Principles – mathsathome.com
1208×682
mathsathome.com
How to Differentiate by First Principles – mathsathome.com
1207×685
mathsathome.com
How to Differentiate by First Principles – mathsathome.com
300×170
mathsathome.com
How to Differentiate by First Principles – mathsathome.…
644×430
chegg.com
Solved Use the first principle of differentiation to find | Chegg.com
624×350
iitutor.com
Easy Calculus:Exploring Differentiation by First Principles
353×500
tes.com
Differentiation from first princi…
2048×1152
slideshare.net
Differentiation by first principles | PPTX
2048×1152
slideshare.net
Differentiation by first principles | PPTX
638×359
slideshare.net
Differentiation by first principles | PPTX | Physics | Science
2048×1152
slideshare.net
Differentiation by first principles | PPTX
680×635
schooluniguide.com
Differentiation from First Principles Formula, Derivation
680×667
schooluniguide.com
Differentiation from First Principles Formula, Derivation
680×493
schooluniguide.com
Differentiation from First Principles Formula, Derivation
680×538
schooluniguide.com
Differentiation from First Principles Formula, Derivation
680×487
schooluniguide.com
Differentiation from First Principles Formula, Derivation
某些结果已被隐藏,因为你可能无法访问这些结果。
显示无法访问的结果
报告不当内容
请选择下列任一选项。
无关
低俗内容
成人
儿童性侵犯
反馈