你提供的照片可能用于改善必应图片处理服务。
隐私政策
|
使用条款
无法使用此链接。检查链接是否以 "http://" 或 "https://" 开头,然后重试。
无法处理此搜索。请尝试其他图像或关键字。
试用视觉搜索
使用图像搜索、识别对象和文本、翻译或解决问题
将一个或多个图像拖到此处,
上传图像
或
打开相机
将图像放到此处以开始搜索
要使用可视化搜索,请在浏览器中启用相机
English
全部
搜索
图片
灵感
创建
集合
视频
地图
资讯
更多
购物
航班
旅游
笔记本
自动播放所有 GIF
在这里更改自动播放及其他图像设置
自动播放所有 GIF
拨动开关以打开
自动播放 GIF
图片尺寸
全部
小
中
大
特大
至少... *
自定义宽度
x
自定义高度
像素
请为宽度和高度输入一个数字
颜色
全部
仅限颜色
黑白
类型
全部
照片
剪贴画
素描
动画 GIF
透明
版式
全部
方形
横版
高
人物
全部
仅脸部
半身像
日期
全部
过去 24 小时
过去一周
过去一个月
去年
授权
全部
所有创作共用
公共领域
免费分享和使用
在商业上免费分享和使用
免费修改、分享和使用
在商业上免费修改、分享和使用
详细了解
清除筛选条件
安全搜索:
中等
严格
中等(默认)
关闭
筛选器
768×1024
scribd.com
Gamma Dist... | PDF
1024×655
examples-of.net
Gamma Distribution Example in Healthcare Analysis
850×540
researchgate.net
10 Example of Using Gamma Distribution | Download Scientific Diagram
1024×926
statology.org
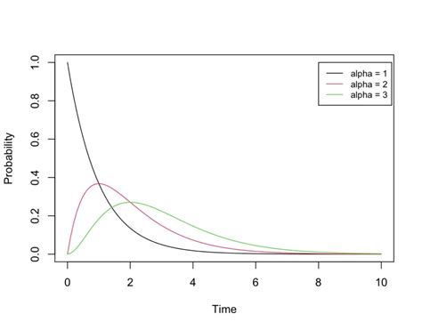
How to Use the Gamma Distribution in R (With Examples)
1280×720
storage.googleapis.com
Gamma Distribution Example Questions at Lauren Blackwell blog
850×570
storage.googleapis.com
Gamma Distribution Example Questions at Lauren Blackwell blog
1280×720
storage.googleapis.com
Gamma Distribution Example Questions at Lauren Blackwell blog
1400×1219
fity.club
Gamma Distribution
1331×854
fity.club
Gamma Distribution
686×302
labdeck.com
Gamma Distribution - LabDeck
497×404
labdeck.com
Gamma Distribution - LabDeck
1051×259
chegg.com
Solved Gamma Distribution Problems:The time until a | Chegg.com
200×200
nematrian.com
Gamma Distribution
1024×801
fity.club
Gamma Distribution Gamma Distribution Worked Example
512×381
builtin.com
What Is Gamma Distribution? (Definition, Uses, Examples) | Built In
768×1024
scribd.com
Gamma Distribution | PDF
626×786
statlect.com
Gamma distribution | Mean, variance, proofs, exercises
850×689
researchgate.net
Gamma distribution experiment. | Download Scientific Diagram
1620×2096
studypool.com
SOLUTION: Gamma exponen…
800×427
shkgsdrwebpin.mex.tl
Gamma distribution sample - shkgsdr
1280×1656
docsity.com
3 Solved Problems on Gamma Distributio…
700×536
chegg.com
Solved Gamma Distribution Example: The time until a total of | Chegg.com
1150×724
fity.club
Generalized Gamma Distribution ASV Chapters 1 Sample Spaces And
400×322
help.reliasoft.com
The Gamma Distribution
1024×768
SlideServe
PPT - Distribution Gamma Function Stochastic Process PowerPoint ...
949×294
chegg.com
Solved E) PROBLEMS ON GAMMA DISTRIBUTION If | Chegg.com
720×540
slideserve.com
PPT - Special Continuous Probability Distributions Ga…
1442×786
chegg.com
Solved (Gamma distribution problem): The gamma function is a | Chegg.com
1024×768
SlideServe
PPT - Special Continuous Probability Distributions Gamma Distribution ...
1024×768
SlideServe
PPT - Special Continuous Probability Distributions Gamma Distribution ...
558×418
xycoon.com
Statistical Distributions - Gamma Distribution - Example
274×206
xycoon.com
Statistical Distributions - Gamma Distribution - Example
272×204
xycoon.com
Statistical Distributions - Gamma Distribution - Exam…
105×21
xycoon.com
Statistical Distributions - …
104×21
xycoon.com
Statistical Distributions - …
某些结果已被隐藏,因为你可能无法访问这些结果。
显示无法访问的结果
报告不当内容
请选择下列任一选项。
无关
低俗内容
成人
儿童性侵犯
反馈