你提供的照片可能用于改善必应图片处理服务。
隐私政策
|
使用条款
无法使用此链接。检查链接是否以 "http://" 或 "https://" 开头,然后重试。
无法处理此搜索。请尝试其他图像或关键字。
试用视觉搜索
使用图像搜索、识别对象和文本、翻译或解决问题
将一个或多个图像拖到此处,
上传图像
或
打开相机
将图像放到此处以开始搜索
要使用可视化搜索,请在浏览器中启用相机
English
全部
搜索
图片
灵感
创建
集合
视频
地图
资讯
更多
购物
航班
旅游
笔记本
自动播放所有 GIF
在这里更改自动播放及其他图像设置
自动播放所有 GIF
拨动开关以打开
自动播放 GIF
图片尺寸
全部
小
中
大
特大
至少... *
自定义宽度
x
自定义高度
像素
请为宽度和高度输入一个数字
颜色
全部
仅限颜色
黑白
类型
全部
照片
剪贴画
素描
动画 GIF
透明
版式
全部
方形
横版
高
人物
全部
仅脸部
半身像
日期
全部
过去 24 小时
过去一周
过去一个月
去年
授权
全部
所有创作共用
公共领域
免费分享和使用
在商业上免费分享和使用
免费修改、分享和使用
在商业上免费修改、分享和使用
详细了解
清除筛选条件
安全搜索:
中等
严格
中等(默认)
关闭
筛选器
768×1024
scribd.com
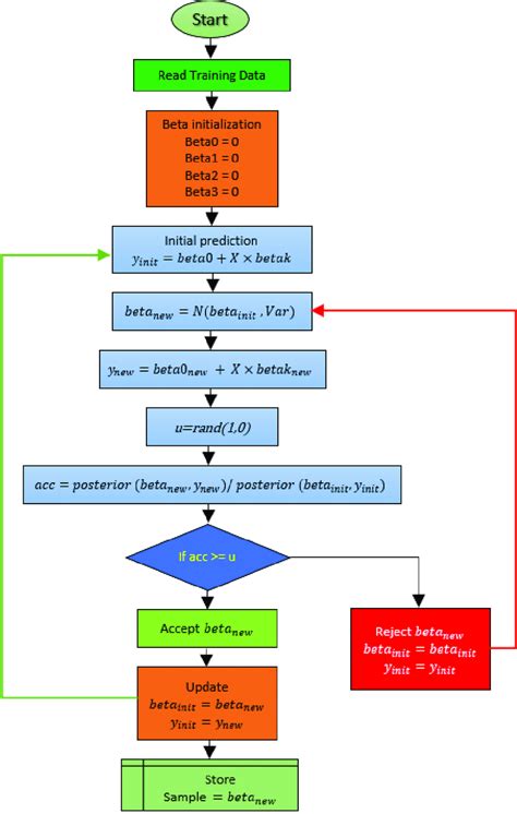
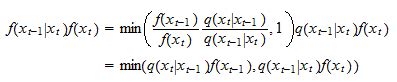
MCMC: Metropolis Hastings Algorith…
768×1024
scribd.com
Metropolis-Hastings Algorithm - Wikip…
640×480
li-yiyang.github.io
Metropolis Hastings Algorithm | My Blog
640×480
li-yiyang.github.io
Metropolis Hastings Algorithm | My Blog
GIF
812×608
li-yiyang.github.io
Metropolis Hastings Algorithm | My Blog
3359×3599
github.com
GitHub - wahyuejunian/Metrop…
1200×600
github.com
GitHub - binado/Metropolis-Hastings-Algorithm: Jupyter notebook ...
850×208
researchgate.net
the Metropolis-Hastings algorithm | Download Scientific Diagram
375×375
github.io
An illustration of Metropolis–Hastings alg…
850×1338
researchgate.net
Metropolis-Hastings algori…
397×82
statlect.com
Metropolis Hastings algorithm | Independent and Random-Walk
663×700
chegg.com
Solved 1. Metropolis-Hastings algorithm: …
674×528
Stack Exchange
code review - Metropolis-Hastings Algorithm Problem …
560×374
researchgate.net
The mechanism of Metropolis-Hastings algorithm. | Download Sci…
1200×600
github.com
GitHub - fbeutler/Metropolis-Hastings: example for the Metropolis ...
1067×686
math.stackexchange.com
probability - Understanding the Metropolis-Hastings Algorithm ...
850×962
researchgate.net
Metropolis-Hastings Algorithm. | Download …
220×138
en.wikipedia.org
Metropolis–Hastings algorithm - Wikipedia
850×196
researchgate.net
Metropolis-Hastings algorithm. | Download Scientific Diagram
380×380
researchgate.net
Metropolis-Hastings algorithm. | Download …
768×576
leftasexercise.com
The Metropolis-Hastings algorithm – LeftAsExercise
1000×800
leftasexercise.com
The Metropolis-Hastings algorithm – LeftAsExercise
869×284
handwiki.org
Metropolis–Hastings algorithm - HandWiki
1200×1180
Semantic Scholar
Metropolis–Hastings algorithm | Semantic Scholar
980×738
Semantic Scholar
Metropolis–Hastings algorithm | Semantic Scholar
1078×854
Semantic Scholar
Metropolis–Hastings algorithm | Semantic Scholar
1254×1138
Semantic Scholar
Metropolis–Hastings algorithm | Semantic Scholar
1200×600
github.com
GitHub - BinalieWeerawardhana/Metropolis-Hastings-Algorithm-analysis ...
1416×950
math.stackexchange.com
graph theory - Metropolis Hastings Algorithm on Markov chain ...
850×699
researchgate.net
2: Modifications of the standard Metropolis-Hastings algorithm ...
2050×1182
math.stackexchange.com
graph theory - Metropolis Hastings Algorithm on Markov chain ...
850×1100
deepai.org
A multiple-try Metropolis-Hasti…
850×787
researchgate.net
A sampling step in Metropolis-Hastings algo…
850×1100
ResearchGate
(PDF) The Metropolis—Hastings Alg…
774×578
stats.stackexchange.com
bayesian - Computational aspect of the Metropolis-Hastings algori…
某些结果已被隐藏,因为你可能无法访问这些结果。
显示无法访问的结果
报告不当内容
请选择下列任一选项。
无关
低俗内容
成人
儿童性侵犯
反馈