English
全部
搜索
图片
视频
短视频
地图
资讯
更多
购物
航班
旅游
笔记本
报告不当内容
请选择下列任一选项。
无关
低俗内容
成人
儿童性侵犯
时长
全部
短(小于 5 分钟)
中(5-20 分钟)
长(大于 20 分钟)
日期
全部
过去 24 小时
过去一周
过去一个月
去年
清晰度
全部
低于 360p
360p 或更高
480p 或更高
720p 或更高
1080p 或更高
源
全部
Dailymotion
Vimeo
Metacafe
Hulu
VEVO
Myspace
MTV
CBS
Fox
CNN
MSN
价格
全部
免费
付费
清除筛选条件
安全搜索:
中等
严格
中等(默认)
关闭
筛选器
6:15
calcworkshop.com
Continuous Random Variable
Did you know that finding the probability of a continuous random variable is nothing more than using integration? It's true. Let's jump in to see how this
2020年10月2日
Exponential Derivative Rules
5:25
Derivative of aˣ (for any positive base a)
Khan Academy
2016年8月18日
How to Differentiate Exponential Functions – mathsathome.com
mathsathome.com
2023年1月17日
0:52
Derivative Formulas : Exponential Functions in under a Minute
YouTube
Sena Math
已浏览 121 次
3 个月之前
热门视频
4:29
Expected Value Variance Continuous Random Variable
calcworkshop.com
2020年10月2日
8:14
Exponential Random Variable | PDF and CDF Explained | Probability & Statistics
YouTube
ECE by MVK
已浏览 5 次
3 个月之前
14:12
5 - Continuous Distributions- Uniform, Normal, Exponential
YouTube
Mathew K Analytics
3 个月之前
Exponential Derivative Examples
8:56
Derivative of Exponential Function | Overview, Formula & Examples
Study.com
已浏览 2.9万 次
2012年4月25日
1:00
Exponential Derivative Formulas | Calculus #shorts
YouTube
Sena Math
已浏览 155 次
3 个月之前
0:09
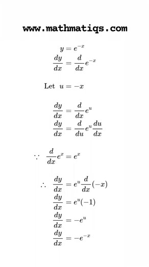
Differentiation of Exponential Functions || Derivative of e^(-x) #shorts #maths #mathmatiqs
YouTube
Muhammad Irshad
已浏览 109 次
6 天之前
4:29
Expected Value Variance Continuous Random Variable
2020年10月2日
calcworkshop.com
8:14
Exponential Random Variable | PDF and CDF Explained | Probability &
…
已浏览 5 次
3 个月之前
YouTube
ECE by MVK
14:12
5 - Continuous Distributions- Uniform, Normal, Exponential
3 个月之前
YouTube
Mathew K Analytics
6:18
The Exponential Distribution in R
已浏览 9096 次
2021年9月1日
YouTube
Equitable Equations
Continuous Random Variables #10 | Exponential Distribution | 2024 Bu
…
已浏览 326 次
2024年10月10日
YouTube
Dr. Bharatendra Rai
26:24
Exponential distribution (pdf, Expectation,Variance and MGF)
已浏览 9635 次
2020年8月12日
YouTube
Maths Tutor Keith
11:46
Probability Density Functions
已浏览 60.5万 次
2018年3月24日
YouTube
The Organic Chemistry Tutor
13:25
Introduction to Exponential Functions
已浏览 1.8万 次
2020年4月2日
YouTube
Alosa Prime | Math Lessons & Logic
8:09
L08.6 Exponential Random Variables
已浏览 6.3万 次
2018年4月24日
YouTube
MIT OpenCourseWare
9:14
L08.8 Normal Random Variables
已浏览 6万 次
2018年4月24日
YouTube
MIT OpenCourseWare
9:59
Exponential Distribution : Worked Example
已浏览 6.9万 次
2014年4月5日
YouTube
Maths Resource
10:07
Probability Exponential Distribution Problems
已浏览 57.2万 次
2019年9月14日
YouTube
The Organic Chemistry Tutor
8:48
How life grows exponentially
已浏览 140万 次
2018年6月20日
YouTube
Primer
9:58
Continuous probability distribution intro
已浏览 29.4万 次
2012年12月10日
YouTube
Khan Academy
10:13
Continuous Probability Distributions - Basic Introduction
已浏览 70.4万 次
2019年9月16日
YouTube
The Organic Chemistry Tutor
15:00
Introduction to Probability : Exponential Distribution
已浏览 30.9万 次
2013年9月8日
YouTube
Dragonfly Statistics
5:52
An Introduction to Continuous Probability Distributions
已浏览 66.1万 次
2012年12月23日
YouTube
jbstatistics
9:41
Exponential Distribution | Mean & Variance | Moment Generating Fu
…
已浏览 51.1万 次
2019年4月5日
YouTube
Dr.Gajendra Purohit
3:22
Exponential Functions: Growth? Decay? Neither?
已浏览 7.8万 次
2014年9月4日
YouTube
MathontheWeb
14:32
Continuous Random Variables: Mean & Variance
已浏览 38.1万 次
2012年12月5日
YouTube
MrNichollTV
31:27
Continuous Probability Uniform Distribution Problems
已浏览 48.6万 次
2019年9月11日
YouTube
The Organic Chemistry Tutor
19:44
Expected Values for Continuous Variables!!!
已浏览 11.2万 次
2021年6月22日
YouTube
StatQuest with Josh Starmer
25:47
Continuous Random Variables: Cumulative Distribution Functions
已浏览 28.4万 次
2012年11月27日
YouTube
MrNichollTV
4:34
Discrete vs Continuous Random Variables
已浏览 4732 次
2017年5月26日
YouTube
Math and Stats Help
4:32
Exponential distribution moment generating function
已浏览 3.6万 次
2016年2月16日
YouTube
Lawrence Leemis
4:31
L13.2 Conditional Expectation as a Random Variable
已浏览 7.9万 次
2018年4月24日
YouTube
MIT OpenCourseWare
27:13
Exponential Distribution | Simplest Way to Compute Probability
已浏览 10.9万 次
2020年11月3日
YouTube
Dr. Harish Garg
13:55
Derivatives of Exponential Functions - Calculus | MCV4U
已浏览 4519 次
2019年10月21日
YouTube
JensenMath
11:02
Cumulative Distribution Functions and Probability Density Functions
已浏览 81.8万 次
2019年9月21日
YouTube
The Organic Chemistry Tutor
观看更多视频
更多类似内容
反馈